2 Feb 2021

Developing zero-emissions harbour towage capabilities

In focus: ✔ RSD Tug 2513 Electric ✔ The first fully electric tug ✔ Standardisation ✔ Electric vessels ✔ Sustainability ✔ RSD Tug 2513

Ben Littler
5 MIN

The race is on

The race is on to reduce emissions as climate change becomes ever more apparent. With global emissions of CO2 alone up by almost 50% since 1990, governments are taking steps to reverse the rise. Worldwide, 189 nations have signed up to the 2016 Paris Agreement to keep the increase in global warming to 2°C above pre-industrial levels.

The maritime industry must play its part and, with ports having an important role, harbour tugs are natural candidates for taking the first steps. Ports of Auckland, the launching customer for the first Damen Reversed Stern Drive-E (RSD-E) Tug 2513, has the goal of becoming a zero emissions port by 2040. In light of the impetus to tackle climate change, the challenge presented by Ports of Auckland for a fully electric tug has come at the right time.

A big step forward

In July 2020, a ceremony was held at Damen Song Cam Shipyard in Vietnam to mark the keel-laying of the first all electric RSD-E Tug 2513. When launched, the vessel will be the first, fully electric tug with 70 tons of bollard pull in existence. This marks a big step towards a sustainable future in maritime operations.

Design electric propulsion system

For the tug, Damen is using the same standardisation principle as for diesel tugs. As a result, explains Erik van Schaik, manager design of Damen’s Tugs department, the company can guarantee a good price, quick delivery times and consistent quality and performance.

“What’s more, the in-house designed electric propulsion system can be sized up and down for use in different tug types – we expect to be building more fully electric vessels in the future.”

Naturally, as well as sustainability, safety is also a primary requirement.

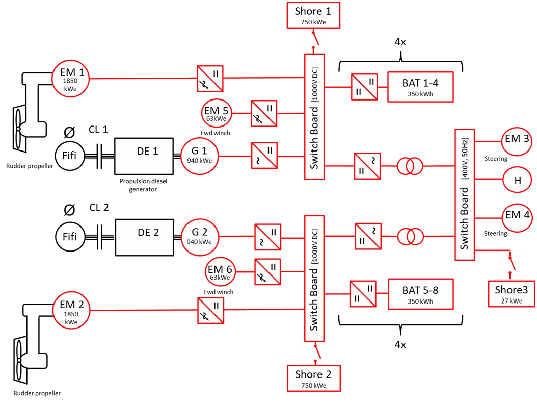
“For maximum redundancy, four identical and independent battery packs are situated in each insulated, temperature controlled battery room. The lifetime of the battery system in this application is expected to be approximately 30,000 cycles – the same as the estimated working life of the vessel.”

Operational performance

Thanks to its electric propulsion, as well as the RSD design, the tug is very efficient in operation.

“The vessel can operate with a crew of just two persons thanks to the degree of automation incorporated, the quality of the human machine interface and the centralised alarm, monitoring and control system connected to the Damen remote monitoring system,” explains Erik.

“The battery capacity is sufficient to perform at least two (un) berthing operations in an average harbour with zero emissions, fully electric, on batteries alone. During these operations the vessel can push/pull with 70 ton bollard pull for at least 30 minutes. It then takes only two hours to fully recharge the batteries via the shore connection between operations.”

Business case

The vessel is designed for the lowest total cost of ownership over its lifetime. Depending on the local situation, OPEX can be low with electricity provided from shore and reduced maintenance costs.

“In the right circumstances the total cost of ownership over the lifetime of the Damen RSD-E Tug 2513 is equal or lower than that of a diesel RSD Tug 2513.

“Aside from the financials though, there are additional benefits to an electrical operation. Increased sustainability associated with lower emissions and the need for fewer crew members on board being two obvious examples. Furthermore, all-electrical propulsion removes the necessity of oxygen in the engine room to run fossil fuel driven engines, making it safer for operations in and around LNG terminals and other hydrocarbon/chemical facilities,” Erik concludes.